Begriffe wie Staatsbankrott, spekulative Attacke und Gefährdung des Euro werden im Zusammenhang mit den offensichtlichen Schuldenproblemen einiger Euroländer genannt. Sie sind aber ungenau. Für eine Analyse möglicher Wirkungen des EU/IWF-Rettungsschirms und dessen aktuell diskutierter Ausweitung ist eine genaue Definition erforderlich. Ergebnis der folgenden Analyse ist: Spekulative Attacken auf Staatsanleihen könnten durch den Rettungsschirm durchaus abgewehrt werden – allerdings möglicherweise einhergehend mit einer Abwertung des Euro.
Gibt es eine Eurokrise? Ist der Euro „spekulativen Attacken“ ausgesetzt, die durch Bailouts hoch verschuldeter Euroländer abgewehrt werden könnten? Die führenden Politiker der Europäischen Union (EU) scheinen davon überzeugt zu sein. Nach den teils dramatischen Anstiegen der effektiven Zinsen seit Mitte April 2010 für Staatsanleihen einiger Euroländer (siehe Abbildung 1) – vor allem Griechenland, Irland und Portugal – hat die EU im Mai 2010 beschlossen, Bürgschaften für Eurostaaten in Höhe von 440 Mrd. Euro und Kredite der EU-Kommission in Höhe von 60 Mrd. Euro im Rahmen des sogenannten Europäischen Stabilisierungsmechanismus (ESM) bereitzustellen. Dazu kommen direkte EU-Kredite für Griechenland in der Größenordnung von 80 Mrd. Euro. Die Hauptlast der EU-Hilfen (gut zwei Drittel) tragen Deutschland, Frankreich und Italien. Der Internationale Währungsfonds (IWF) hat zudem 250 Mrd. Euro an Bürgschaften und 30 Mrd. Direkthilfe für Griechenland zugesagt. Des Weiteren hat die Europäische Zentralbank bis Ende 2010 vor allem griechische, irische und portugiesische Staatsanleihen im Wert von ca. 70 Mrd. Euro gekauft.
Abbildung 1
Effektivzins für 10-jährige Staatsanleihen ausgewählter Euro-Mitgliedsländer

Quelle: Die Abbildung ist eine aktualisierte Version der Abbildung 1 in: H.-W. Sinn, K. Carstensen: Ein Krisenmechanismus für die Euro-Zone, in: ifo-Schnelldienst, Sonderausgabe, 23. November 2010. Datenquelle: Reuters Ecowin (Government Benchmarks, Bid, 10 year yield).
Die Größe des provisorischen Rettungsschirms beträgt also bereits ca. 930 Mrd. Euro. In der Tat sind die Zinsen für griechische, irische und portugiesische Staatsanleihen unmittelbar nach Schnüren des Rettungspakets wieder deutlich gesunken. Dies war aber nur von kurzer Dauer. Seit dem erneuten, aus Abbildung 1 ersichtlichen Zinsanstieg seit Ende Oktober 2010 begann daher eine neue Diskussion über die Ausweitung des Rettungsschirms und dessen permanente Ausgestaltung. Im Zuge dessen hat die EU Mitte Februar 2011 laut dem luxemburgischen Ministerpräsidenten Jean-Claude Juncker die „effektive Ausleihkapazität“ im Rahmen des ESM, der den provisorischen Rettungsschirm ablösen soll, auf dauerhaft 500 Mrd. Euro festgesetzt. Weitere Maßnahmen werden diskutiert.
Diese Arbeit untersucht die möglichen Wirkungen und Nebenwirkungen des Rettungsfonds bzw. seiner Ausweitung anhand eines einfachen theoretischen Modells. Das Hauptaugenmerk liegt dabei auf den Zinsen für Staatsanleihen hoch verschuldeter Länder und auf dem Euro-Wechselkurs. Dabei spielt die rational zu erwartende Rückzahlungsquote bzw. die Default-Wahrscheinlichkeit von Staatsanleihen hoch verschuldeter Staaten eine entscheidende Rolle.
Die Analyse legt nahe, dass es zwar spekulative Attacken auf Staatsanleihen in einem wohl definierten Sinne geben kann und diese durch den Rettungsschirm abgewehrt werden könnten. Aber selbst in diesem Fall könnte die Stützung des Euro fehl- und sogar in das Gegenteil umschlagen. Grund dafür sind unabsehbare Folgen auf die Staatsfinanzen und auf das Potenzial für wachstumspolitische Maßnahmen in den Geberländern durch die Kosten der Bailouts.
Von einer Eurokrise zu sprechen ist zudem höchst zweifelhaft. Selbst im turbulenten, späten Frühjahr 2010 war der tiefste Eurokurs noch immer auf einem Stand von etwa 1,20 US-$/Euro – einem Wert, der noch Anfang 2004 einen historischen Höchststand markiert hat. Zudem sollte eine Eurokrise daran erkennbar sein, dass die Zinssätze auf Staatsanleihen aller Euroländer sich erhöhen, da Anlagen in Euro insgesamt unattraktiver würden. Wie aber aus Abbildung 1 ersichtlich liegen die Renditen für deutsche und französische Staatsanleihen noch unter dem Niveau vor der Finanzkrise.
Das Modell
Betrachtet wird ein „repräsentatives“ Land mit hohen Staatsschulden innerhalb der Eurozone.1 Wir nehmen an, die Ökonomie befinde sich immer im mittelfristigen Gleichgewicht (d.h. die Preisniveauerwartungen sind korrekt); korrespondierend dazu ist das Bruttoinlandsprodukt (BIP) Y anfänglich gleich Y0 > 0. Y wachse mit einer konstanten und vorhersehbaren Rate g.
G bezeichnet die Staatsausgaben in einer Periode. Es wird angenommen, dass die Staatsausgabenquote nicht unter ein Mindestniveau a fallen kann, G/Y ≥ a > 0, z.B. zur Aufrechterhaltung der öffentlichen Ordnung (Polizei, Justiz, öffentliche Verwaltung) sowie der Sicherstellung eines Mindestmaßes an öffentlicher Infrastruktur und Bildung.
Die Steuereinnahmen seien proportional zum BIP: T = τ Y, wobei der Steuersatz τ nach oben beschränkt sei:
τ ≤ τ max < 1. τ max und a seien bekannt, wobei τ max > a.
Es wird von risikoneutralen Anlegern und vernachlässigbaren Transaktionskosten auf den Finanzmärkten ausgegangen. Es gebe einen risikolosen Zinssatz i in der Eurozone – beispielsweise für Staatsanleihen von gering verschuldeten Ländern – und einen risikolosen Zinssatz außerhalb der Eurozone, i*. Zudem wird mit Et der Wechselkurs des Euro (z.B. US-$ pro Euro) in Periode t = 0,1,2… bezeichnet und mit Eet+1 der zukünftig erwartete Wechselkurs. Ein Sinken von E bedeutet eine Abwertung des Euro gegenüber ausländischen Währungen. Ursprünglich seien die Anleger indifferent, einen Euro in Staatsanleihen eines gering verschuldeten Eurolandes oder im Ausland anzulegen. Somit gilt die Zinsparität (1)

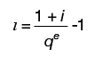
Zudem müssen die Anleger indifferent sein, einen Euro in einem hoch- oder geringverschuldeten Euroland anzulegen. Es sei ι die Rendite auf Staatsanleihen des verschuldeten Staates, die sich ohne Default ergeben würde (wie z.B. der Effektivzins in Abbildung 1). Wenn es Default-Erwartungen gibt, enthält diese Marktrendite eine „Risikoprämie“. Es sei qe der erwartete Anteil der Staatsanleihen, der zurückgezahlt wird (z.B. ein erwarteter Default von 30% des Nennwerts bedeutet qe = 0,7). Die erwartete Rendite im hochverschuldeten Land, (1 + ι)qe, muss also 1 + i entsprechen. Somit gilt: (2)

also ι > i falls qe < 1. Zur Vereinfachung seien i, i* und qe zeitinvariant. Damit ist ι ebenfalls zeitinvariant.
Der erwartete Eurokurs Ee sei steigend mit der erwarteten Rückzahlungsquote qe der verschuldeten Länder, da Default-Erwartungen eine Flucht in andere Währungen (z.B. Anlagen in US-Dollar) auslösen könnten. Zudem wird angenommen, dass EU/IWF-Hilfen zur Begleichung der Staatsschulden zugunsten von Altgläubigern verwendet werden und nie zurückgezahlt werden müssen. Somit könnte Ee aufgrund zukünftiger EU/IWF-Transfers sinken. Dies deshalb, weil die Inanspruchnahme des Rettungsfonds eine höhere zukünftige Schuldenlast auch von bislang gering verschuldeten Geberländern der Eurozone bedeutet. Höhere Schulden implizieren geringere Finanzierungsmöglichkeiten öffentlicher Investitionen in Infrastruktur und F&E sowie von Bildungsausgaben. Sie haben also einen möglicherweise erst längerfristig sichtbaren, adversen Wachstumseffekt. Zudem könnten sie eine Anhebung der Steuersätze nötig machen, welche die Attraktivität der Geberländer als Unternehmensstandorte senken und somit zu Kapitalflucht aus der Eurozone führen kann. Dies kommt einer Abwertungserwartung des Euro gleich. Mit Zt+1, Zt+2,… wird der Transfer aus dem EU/IWF-Rettungsfonds in Periode t+1, t+2, etc. bezeichnet. Wir schreiben mit Hilfe der Funktion E~: (3)

Die EU/IWF-Transfers wachsen mit einer konstanten und angekündigten Rate h. In jeder Periode emittiert der verschuldete Staat Anleihen, die eine Periode Laufzeit haben. Sei Dt der Schuldenstand in Periode t. Es gilt (wenn es keinen Default gibt): (4)

wobei St : = Tt - Gt + Zt den Budgetüberschuss (Surplus) in Periode t bezeichnet (d.h. -S ist das Budgetdefizit).
Gleichgewichtsanalyse
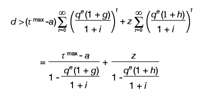
Damit die Staatsschulden langfristig zurückgezahlt werden, muss gemäß (4) gelten: (5)

Verwendung von (5), T = τY und Yt = Y0(1 + g)t legt folgende Definition nahe.
Definition 1: Staatsbankrott ohne Transfers
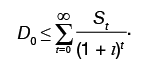
Ein Staat ist bankrott, wenn gilt: (6)

d.h. falls der Barwert des Stroms der sich ohne Transfers ergebenen, maximalen Budgetüberschüsse (T - G) nicht ausreicht, um die heutigen Schulden zurückzuzahlen, ausgehend von der minimalen Diskontierungsrate i (Marktzins ohne Default-Erwartung).
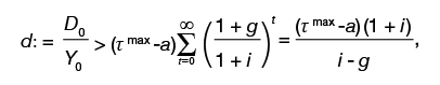
Bedingung (6) ist äquivalent zu2 (7)

d.h. ein Staat ist bankrott, wenn die Schuldenquote (d) hoch und gleichzeitig die zukünftige Einkommenswachstumsrate (g) niedrig ist. Man sieht aus (7), dass nicht nur die Schuldenquote, sondern eben auch Wachstums- und Haushaltskonsolidierungspotenziale wesentlich für einen Staatsbankrott sind.
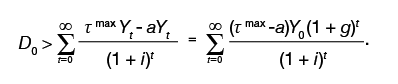
Definition 2: Staatsbankrott mit Transfers
Es wird ein Staatsbankrott erwartet (qe < 1), wenn die Staatsschuld den Barwert der maximalen, erwarteten Budgetüberschüsse inklusive Transfers bei Marktrendite ι übersteigt. Formal gilt (unter Vernachlässigung von Unsicherheit): (8)

Da Yt = Y0(1 + g)t, Zt = Z0(1 + h)t und die Zinsparität 1 + ι = (1 + i)/qe gilt, ist (8) äquivalent zu3 (9)

wobei z: = Z0/Y0. Dabei ist zu beachten, dass die letzte Umformung qe >0 voraussetzt. Es wird also ein Bankrott erwartet, falls die Schuldenquote hoch ist und gleichzeitig die Einkommenswachstumsrate (g), der anfängliche Transfer relativ zum anfänglichen BIP (z) und die Wachstumsrate des Transfers (h) niedrig sind.
Zudem steigt die rechte Seite von (9) mit der erwarteten Rückzahlungsquote (qe). Eine Default-Erwartung wird also umso eher eintreten, wenn man einen Default erwartet. Das hört sich zwar paradox an, doch sogenannte sich selbst erfüllende Erwartungen sind in der Wirtschaftstheorie bekanntlich nichts Ungewöhnliches.
Sowohl die Erwartung eines Default als auch die Erwartung keines Default können somit gleichzeitig rational sein. Wenn ein Default (qe < 1) erwartet wird, dann ist der Zinssatz auf Staatsanleihen (ι) gemäß Gleichung (2) hoch und somit der Barwert der maximalen, zukünftigen Budgetüberschüsse ceteris paribus niedrig. Die Erwartung qe < 1 wird also bestätigt. (Ungleichungen (8) bzw. (9) sind erfüllt.) Wenn hingegen kein Default erwartet wird (qe = 1), ist der Zinssatz gering und der Barwert der Budgetüberschüsse ist hoch, so dass (9) möglicherweise nicht erfüllt wäre. Somit kann es für dieselben Parameter ebenfalls rational sein, qe = 1 zu erwarten.
Resultat 1: qe = 0 ist immer eine rationale Erwartung.
Beweis: Für qe = 0 gilt gemäß (2), dass ι → ∞. Somit wird die rechte Seite von (8) Null, d.h. Staatsschuld D0>0 ist nicht rückzahlbar.
Resultat 1 impliziert auch, dass ein Land, für das die Erwartungen extrem pessimistisch sind, gar keine Staatsschulden mehr aufnehmen kann.
Es werden nun die gleichgewichtigen Default-Erwartungen für den Fall charakterisiert, dass die Fiskalpolitik die maximalen Budgetüberschüsse generiert.
Rationales Erwartungsgleichgewicht
Resultat 2 (Rationales Erwartungsgleichgewicht): Angenommen, es gibt eine verbindliche Festlegung auf Fiskalpolitik (τ max, a).
(a) Ein „inneres“ Gleichgewicht, gekennzeichnet durch eine rationale Erwartung qe ∈ (0,1), ist gegeben durch (10)

(b) Es existiert mindestens ein Gleichgewicht mit qe>0, es kommt also immer zu multiplen Erwartungsgleichgewichten.
Beweis: Unter Verwendung der rechten Seite von (9) sieht man, dass bei einer durch (10) definierten Rückzahlungsquote q der Staatsanleihen die Rückzahlung dem Barwert der maximalen Budgetüberschüsse gleicht. Das beweist Teil (a). Teil (b) folgt aus den Eigenschaften, dass Ω(0,.) > 0 und Ω(q,.) > 0 streng konvex als Funktion von q ∈ [0,1] ist. Da qe = 0 auch eine rationale Erwartung ist (Resultat 1), ist das Gleichgewicht somit nie eindeutig.
Somit ist gemäß (10) die gleichgewichtige (erwartete) Rückzahlungsquote der Staatsanleihen eines Landes in einer Periode (qe) abhängig von der Schuldenquote d, der BIP-Wachstumsrate g, und der Höhe des erwarteten Transferstroms (charakterisiert durch z und h).
Es gibt gemäß Resultat 2(b) neben dem „trivialen“ Gleichgewicht qe = 0 (Resultat 1) noch mindestens ein weiteres Gleichgewicht. Welches Gleichgewicht sich einstellt, hängt ausschließlich von Erwartungen ab, die sich entsprechend selbst erfüllen.
Die Situationen, die im Gleichgewicht auftreten können, lassen sich anhand der Abbildung 2 ablesen. Die Ursprungsgeraden repräsentieren die linke Seite von (10) und haben eine Steigung, die gleich der Schuldenquote ist. Die flache, gestrichelte Gerade korrespondiert mit einer geringen Schuldenquote d_ während die steile, durchgezogene Gerade eine hohe Schuldenquote d¯ anzeigt. Ein inneres Gleichgewicht qe ∈ (0,1) liegt dort, wo die jeweilige Ursprungsgerade die Kurve Ω(q,.) schneidet – die rechte Seite von (10). Dabei hängt die Lage von Ω(q,.) ab vom anfänglichen Transfer als Anteil des anfänglichen BIP, das niedrig sein kann (z_) – angezeigt durch die gestrichelte Kurve in Abbildung 2 – oder hoch (z¯) – angezeigt durch die durchgezogene Kurve.
Abbildung 2
Erwartungsgleichgewichte über die Rückzahlungsquote

Es gilt d¯ > d_, z¯ > z_.
Falls die Schuldenquote einen hinreichend niedrigen Wert d_ aufweist, gibt es neben qe = 0 nur noch das Gleichgewicht qe = 1 (keine Default-Erwartungen). Im Fall mit hinreichend hoher Schuldenquote d¯ > d_ ist ein Gleichgewicht qe = 1 indes nicht möglich. Es kann nun ein oder zwei innere Gleichgewichte geben. Bei geringem Transfer z_ gibt es nur ein inneres Gleichgewicht (Schnittpunkt A). Bei hohem Transfer (z¯ > z_) gibt es zwei innere Gleichgewichte (Schnittpunkte B und C). Dabei sind die beiden durch B und C definierten inneren, gleichgewichtigen Rückzahlungsquoten höher als im Gleichgewicht A mit geringem Transfer (z_).
„Spekulative Attacken“?
Nach der im Jahr 2007 ausgebrochenen Finanzkrise ist der Euro gegenüber dem US-Dollar zunächst auf einen historischen Höchststand von knapp 1,60 US-$/Euro gestiegen (April 2008). Noch Anfang 2010 betrug der Kurs 1,44 US-$/Euro, ist jedoch danach bis Juni 2010 auf ca. 1,19 US-$/Euro gefallen. Um diese Entwicklung zu verstehen, rufen wir uns kurz die Hintergründe der jüngsten Finanz- und Wirtschaftskrise in Erinnerung.
Aufgrund der Überbewertung von US-Immobilien und den somit inkorrekten Erwartungen über das Kollateral bei Immobilienkrediten konnten Banken durch die kurzfristige Ausgabe von Hypothekenverbriefungen (Asset-backed Securities, kurz: ABS) ihre langfristig vergebenen Hypothekenkredite nicht mehr kurzfristig finanzieren. Finanzmarktakteure befürchteten Immobilienpreisrückgänge und somit einen Default eines Teils der ABS. Deren Markt brach in der Folge zusammen bzw. die Nachfrage nach ihnen sank massiv. Anders ausgedrückt: die Fristentransformation war nicht mehr möglich. Es handelte sich also um einen modernen Bank-Run, begünstigt durch fehlende Eigenkapitalpuffer, die bei ABS anders als bei Spareinlagen nicht vorgeschrieben waren.
Zudem haben sich Banken untereinander aufgrund von Unsicherheit über den finanziellen Status (ihrem eigenen und dem anderer Banken) kaum mehr Geld geliehen. Selbst Banken, die keine Subprime-Kredite vergeben haben, drohte die Zahlungsunfähigkeit. Dies hatte Liquiditätsspritzen der Notenbanken und Staatsgarantien für Finanzinstitute in ungeheuerem Ausmaß zur Folge.
Zu den Liquiditätsengpässen der Banken und (drohenden oder tatsächlichen) Insolvenzen im Finanzsektor kamen pessimistische Erwartungen über die zu erzielende Rendite durch eine längerfristige Kreditvergabe. Die Folge war eine sinkende Investitionsgüterproduktion inklusive negativer Multiplikatoreffekte auf die aggregierte Güternachfrage. Zudem kam es in Europa aufgrund sinkender Importe der USA zu einem zusätzlichen Nachfragerückgang, von dem gerade Deutschland aufgrund seiner Exportorientierung betroffen war. Viele Länder betrieben zur Linderung der resultierenden Rezession nun massiv expansive Fiskalpolitik, neben der teils auch auf die Bankenkrise zielenden expansiven Geldpolitik. Ebenso haben Zentralbanken fiskalische Maßnahmen zur Bankenrettung unternommen, wie beispielsweise den Aufkauf „toxischer“ Papiere über dem Marktwert. Die Schuldenquote in vielen Staaten erhöhte sich deutlich.
Südliche Euroländer mit ohnehin mangelnder staatlicher Haushaltsdisziplin schon vor der Finanzkrise haben aktuell nun eine historisch hohe Schuldenquote (Griechenland, Italien, Spanien, Portugal).4 Es kam in der Eurozone daher zu Default-Erwartungen bei Staaten wie Griechenland, d.h. die erwartete Rückzahlungsquote qe sank.
EU-Politiker sprechen in dem Zusammenhang oftmals von „spekulativen Attacken“ auf den Euro. Diese Wahrnehmung könnte mit der Erwartung einer geringen Rückzahlungsquote qe assoziiert sein, da diese gemäß (3) zu einem geringen erwarteten Wechselkurs des Euro (Ee) führen kann. Die Abwertungserwartung bedeutet nun, dass die Zinsparität nicht mehr erfüllt ist, d.h. 1 + i < (1 + i*)E/Ee. Euro-Anleihen werden somit insgesamt unattraktiver. Daher kann es aufgrund gestiegener Staatsverschuldung in manchen Regionen einer Währungsunion zu einem Rückgang des Wechselkurses E kommen (z.B. im Falle von Griechenland ein Euro-Verfall gegenüber dem US-Dollar und/oder dem Schweizer Franken). Folgende Definition einer „spekulativen Attacke“ scheint innerhalb des hier vorgeschlagenen, einfachen analytischen Rahmens sinnvoll.
Definition 3: Spekulative Attacke
Eine spekulative Attacke auf Staatsanleihen liegt dann vor, wenn die Default-Erwartungen nicht konsistent sind mit einem Gleichgewicht oder eine Änderung der Erwartungen von einem hohen, gleichgewichtigen Wert qe zu einem Gleichgewicht mit geringem qe vorgenommen wird.
Wie in Abbildung 2 gesehen, ist es möglicherweise bei hoher Schuldenquote nicht rational, eine vollständige Rückzahlung zu erwarten, d.h. es gibt kein Gleichgewicht, in dem qe = 1 gilt. Die Erwartung qe < 1 ist daher noch längst keine spekulative Attacke.
Falls qe = 1 kein Gleichgewicht sein kann, gibt es wie oben diskutiert gemäß Abbildung 2 zwei Möglichkeiten.
- Erstens könnte es nur ein einziges inneres Gleichgewicht geben (Punkt A in Abbildung 2). Eine spekulative Attacke liegt in dem Fall nur dann vor, wenn sich die damit verbundene Default-Erwartung zu qe = 0 ändert.
- Zweitens könnte es zwei innere Gleichgewichte geben (Punkte B und C). Falls in dieser Situation die Märkte plötzlich auf das Gleichgewicht „wetten“, bei dem qe den geringeren Wert der beiden Gleichgewichte – oder eben wieder qe = 0 – annimmt, dann könnte man in der Tat sagen, es wird gegen die Anleihen des Staates spekuliert.
Bei starker Abhängigkeit des erwarteten Euro-Wechselkurses (Ee) von qe könnte der Wechselkurs nach einer solchen spekulativen Attacke nun einen so geringen Wert annehmen, dass Maßnahmen ergriffen werden sollten.
EU/IWF-Rettungsmaßnahmen
Die mit dem EU/IWF-Rettungsschirm verbundene Hoffnung war und ist, dass die Default-Erwartungen für griechische Staatsanleihen und Anleihen anderer hoch verschuldeter Länder sinken und die Euro-Abwertungserwartungen abgemildert werden. Die obige Gleichgewichtsanalyse legt zumindest folgenden Schluss nahe.
Resultat 3 (Effekt auf qe): Es kann durch die Rettungsmaßnahmen zu einer Erhöhung der erwarteten Rückzahlungsquote qe kommen, im Extremfall bis zu qe = 1. Die Rendite ι auf Staatsanleihen hoch verschuldeter Staaten sinkt dementsprechend.
Beweis: Höhere Transfers (Anstieg von z oder h) verschieben die Ω(q,.)-Kurve in Abbildung 2 nach oben. Dies kann bis zu dem Punkt geschehen, dass es neben dem trivialen Gleichgewicht (qe = 0) nur noch das Gleichgewicht qe = 1 gibt. Die damit verbundene Zinssenkung folgt aus Gleichung (2).
In der Tat sind die Zinsen für griechische, irische und portugiesische Staatsanleihen Ende April 2010 erst in die Höhe geschossen und unmittelbar nach Schnüren des Rettungspakets wieder deutlich gesunken (vgl. Abbildung 1).
Durchaus auch eine plausible Hoffnung wäre, dass der Rettungsfonds einen Wechsel von pessimistischen zu optimistischen Erwartungen bewirken könnte oder aber einen sonst möglicherweise vorgenommenen Erwartungswechsel hin zum Gleichgewicht mit geringem Wert qe verhindern könnte. Somit könnte eine im Sinne von Definition 3 mögliche, spekulative Attacke abgewehrt werden.
Wie in Abbildung 1 gesehen, waren aber nicht einmal die Zinswirkungen von Dauer. Hinsichtlich der Wirkung auf den Euro muss man noch skeptischer sein. Die in Aussicht gestellten EU/IWF-Hilfen könnten gemäß (3) einen direkt negativen (!) Effekt auf den Eurokurs haben, für gegebene Default-Erwartungen qe.
Resultat 4 (Effekt auf Ee): Selbst wenn durch den Rettungsfonds qe reduziert würde, könnten die Abwertungserwartungen durch das Rettungspaket unbeeinflusst sein oder sogar zunehmen.
Beweis: Folgt direkt aus Gleichung (3).
Das Resultat ist eine Folge der Annahme, dass die Rettungsmaßnahmen faktisch eine Übernahme der Schulden von Griechenland oder anderer hoch verschuldeter Länder durch die Hauptgeberländer bedeuten würde. Es käme also in Zukunft zu Steuererhöhungen und/oder einem Rückgang öffentlicher Investitionen beispielsweise in Deutschland und Frankreich. Somit könnte Kapital aus der Eurozone abfließen. Der Euro würde dann abwerten, obwohl sich die Zinsen auf Staatsschulden für hoch verschuldete Länder reduzieren. Diese unerwünschte Nebenwirkung scheint keine theoretische Anomalie. Die Ankündigung des EU/IWF-Rettungsfonds im Mai 2010 hat die Abwertung des Euro nicht verhindern können. Dies spricht dafür, dass der Rettungsfonds direkt auf die Wechselkurserwartung Ee gewirkt hat, obwohl – wenn auch nur kurzfristig – das Ziel eines Sinkens von qe bzw. des Zinssatzes auf griechische, portugiesische und irische Staatsanleihen erreicht worden ist.
Weitere mögliche, unerwünschte Nebenwirkungen
Es mag weitere, unerwünschte Nebenwirkungen der Rettungsmaßnahmen geben, die in diesem einfachen Modell nicht erfasst sind.
Regierungen, die glauben, im Bankrottfalle ohnehin gerettet zu werden, vermeiden schmerzhafte Sparanstrengungen und lösen somit den Staatsbankrott möglicherweise erst aus (Moral-Hazard). Man könnte einwenden, dass dies kein Problem sei, wenn man die Kreditvergabe in einer Schuldenkrise mit strengen Sparauflagen verknüpft. Allerdings bestehen große Zweifel, ob die Einhaltung solcher Sparauflagen tatsächlich durchgesetzt werden kann.5 Das zeigen die Erfahrungen mit dem Stabilitäts- und Wachstumspakt. Nicht ein einziger der zahlreichen Verstöße gegen das 3%-Defizitkriterium seit der Einführung des Euro ist sanktioniert worden. Sparauflagen sind noch schwerer durchsetzbar. Grund ist, dass EU-Politiker mögliche, gewaltsame Proteste in verschuldeten Ländern nicht verantworten wollen, die aufgrund der Ankündigung von Sparmaßnahmen ausbrechen können. Die gewaltsamen Proteste in Griechenland im Mai 2010 haben diesbezüglich einen eindrücklichen Vorgeschmack gegeben.
Zudem könnten Haushaltskonsolidierungsmaßnahmen, die im Zuge von Hilfszusagen für verschuldete Länder oktroyiert werden (Senkung der Staatsausgaben G bzw. Erhöhung des Einkommensteuersatzes τ), die BIP-Wachstumsrate (g) senken und somit kontraproduktiv sein. Sparmaßnahmen würden höchstwahrscheinlich gerade öffentliche Investitionen für Infrastruktur und Bildungsausgaben betreffen, da der politische Widerstand dort vermutlich kleiner wäre als bei einer Kürzung von Pensionen, Gehältern von Staatsbediensteten, Sozialleistungen etc. Somit ist vorstellbar, dass selbst die rational zu erwartende Rückzahlungsquote qe durch den Rettungsschirm aufgrund der damit verbundenen Auflagen sinken kann. Die jüngsten, in Abbildung 1 dargestellten Zinsentwicklungen für griechische, portugiesische und irische Staatsanleihen deuten darauf hin.
Schlussbemerkungen
Der EU/IWF-Rettungsfonds und dessen mögliche Ausweitung bergen hohe Risiken. Die Analyse des in dieser Arbeit entwickelten, einfachen Modells legt zwar nahe, dass der Rettungsfonds im besten Fall zu sich selbst erfüllenden, optimistischeren Erwartungen hinsichtlich der Rückzahlungsquote für hoch verschuldete Euroländer führen kann. Allerdings ist es aufgrund der resultierenden fiskalischen Probleme der Geberländer wie Deutschland und Frankreich selbst in diesem Fall nicht eindeutig, ob das Abwertungsrisiko des Euro dauerhaft reduziert werden kann.6 Im Gegenteil könnte erst das Rettungspaket selber aufgrund der damit verbundenen Gefährdung von Wachstumsperspektiven in den Geberländern den Euro unter Druck bringen.
Bislang jedenfalls deutet wenig auf eine Eurokrise hin, auch wenn ohne Zweifel eine Staatsschuldenkrise vorliegt, die aber regional begrenzt scheint. Es spricht daher einiges dafür, dass verschuldete Länder ohne Kredithilfe umschulden sollten, selbst dann, wenn diese Länder in der Eurozone bleiben. Es gibt wenig Anzeichen dafür, dass dies dramatische Effekte haben könnte, ganz im Gegensatz zu den Risiken des Rettungsfonds. Um ganz sicher zu gehen, könnten Liquiditätshilfen für besonders betroffene Gläubigerbanken angekündigt werden. Ein großer Vorteil einer Umschuldung mit Gläubigerverzicht wäre, dass für die Zukunft Anreize für Staaten geschaffen werden, eine vernünftigere Haushaltspolitik zu betreiben. Zudem gäbe es dann auch für Anleger verstärkte Anreize, mögliche Risiken in ihr Anlageverhalten einzubeziehen.
Eine Umschuldung Griechenlands beispielsweise könnte möglicherweise sogar die Zinssätze auf griechische Staatsanleihen senken. Aufgrund des reduzierten Moral-Hazard-Problems bei Verzicht auf Bailouts könnten zumindest mittelfristig Default-Erwartungen gemildert werden.
Was erklärt nun das Zustandekommen des Rettungsfonds, angesichts seiner möglicherweise sehr begrenzten Wirkung auf den Eurokurs und den erheblichen Kosten für die Geberländer? Ende 2009 haben französische Banken einen Wert griechischer Anleihen von 52 Mrd. Euro und deutsche Banken von 31 Mrd. Euro gehalten. Zusammen waren dies gut 50% der im Bankbesitz befindlichen griechischen Anleihenwerte.7 Somit liegt der Verdacht nahe, dass hier weniger eine Griechenlandhilfe, als eine nationale Bankenhilfe der Hintergrund des großzügigen Rettungsschirms unter der Federführung von Frankreich und Deutschland war. Mit anderen Worten: deutsche und französische Steuerzahler kommen für Fehlinvestitionen der Finanzinstitute ihrer Länder auf. Selbst wenn ein Ausfall der Staatsanleihen eine systemrelevante Bedrohung des Finanzsektors darstellen würde,8 gäbe es alternative Instrumente der Bankenrettung. Noch nicht einmal auf dem Höhepunkt der Finanzkrise 2007-2008 gab es einen so schamlosen Transfer an die Banken wie es durch den EU/IWF-Rettungsschirm faktisch der Fall ist.
Ein Rettungsfonds für insolvente Staaten begleicht auf indirektem Wege die Schulden an die Altgläubiger, die sich derzeit in keinem Maße an faktischen Staatsbankrotten beteiligen müssen. Verluste der Banken werden abermals sozialisiert. Das ist nicht nur verteilungspolitisch schwer verständlich, sondern – wie in dieser Arbeit argumentiert wurde – aufgrund gefährdeter Wachstumschancen in der Eurozone insgesamt höchst ineffizient. In jedem Fall war der Rettungsfonds nicht, wie von EU-Politikern unisono behauptet, alternativlos. Er scheint sogar die schlechteste aller Alternativen gewesen zu sein.9 Man kann nur hoffen, dass der Rettungsschirm nicht mit unabsehbaren Folgen noch weiter ausgedehnt wird.
Der Autor dankt David Stadelmann für wertvolle Diskussionen und Kommentare zu einer früheren Version.
- 1 Die Analyse ist vollkommen analog anwendbar auf eine verschuldete Region innerhalb eines föderalistischen Landes mit eigener Währung, etwa Kalifornien in den USA.
- 2 Vorausgesetzt, dass i > g erfüllt ist.
- 3 Vorausgesetzt, dass i > g und i > h erfüllt sind.
- 4 Das Gleiche gilt für die USA und Japan. Auch dort gibt es Anzeichen dafür, dass ein Default erwartet werden könnte, auch wenn die Einkommenswachstumsrate g wohl noch höher geschätzt wird als in hoch verschuldeten Euroländern.
- 5 Siehe hierzu auch K. A. Konrad: Eine Frage der Glaubwürdigkeit, in: Wirtschaftsdienst, 90. Jg. (2010), H. 12, S. 783-786.
- 6 Selbst wenn man von einer insgesamt stützenden Wirkungen des Rettungsfonds auf den Eurokurs ausgehen würde, bliebe die Frage, wer unter den Rettungsschirm aufgenommen werden soll. Irland beispielsweise hat eine beherrschbare Schuldenquote bei gleichzeitig vergleichsweise hohem Wachstums- und Haushaltskonsolidierungspotenzial. Irland wollte im November 2010 nach anfänglichem Widerstand dennoch unter den Rettungsschirm (dabei soll sich die Hilfe auf 80 bis 90 Mrd. Euro belaufen), da Bankgarantien in Höhe des 2,5-fachen des BIP abgegeben wurden und somit weiterhin eine Schuldenaufnahme zu geringen Zinssätzen möglich bleiben könnte. Die Frage ist nun, ob die EU ein Interesse haben sollte, Irlands Versprechen an seine Banken zu finanzieren. Da die Banken nicht systemrelevant scheinen, spricht eher wenig dafür.
- 7 Vgl. H.-W. Sinn: Rescuing Europe, CESifo Forum 11, Special Issue, August 2010.
- 8 Zweifel sind aufgrund der großen Streuung der Staatsanleihen angebracht, so dass voraussichtlich keine Großbank Liquiditäts- oder gar Solvenzprobleme bekäme.
- 9 Eine interessante Diskussion von alternativen Maßnahmen findet sich in H.-D. Smeets: Muss der Euro gerettet werden?, in: Wirtschaftsdienst, 90. Jg. (2010), H. 8, S. 548-554.