Die Zusatzbelastung der Lohnsteuerpflichtigen durch die kalte Progression wird seit der Steuerreform 2016 bis 2021 in Österreich 6,2 Mrd. Euro erreichen. Es folgt ein Überblick darüber, wie andere Länder mit dem Problem der kalten Progression umgehen und wie sich die Anwendung dieser Maßnahmen für Österreich auswirken würde. Je nach Anpassungsmodell kann die kalte Progression bis 2021 auf 4 Mrd. Euro abgesenkt werden oder sogar die österreichischen Steuerzahler um 1,6 Mrd. Euro entlasten. Für eine Eliminierung der kalten Progression müssten der Tarifverlauf sowie Frei- und Absetzbeträge jährlich und vollständig an die Inflation angepasst werden.
Im Zuge der seit 1. Januar 2016 in Kraft getretenen Steuerreform in Österreich wurde diskutiert, in welchem Ausmaß diese Reform die in den letzten Jahren angefallene Belastung der Steuerpflichtigen infolge der kalten Progression ausgleichen würde. Wird die Problematik der kalten Progression entschärft, so hat dies den Vorteil, dass zukünftige Reformen nicht mehr ausschließlich die seit der vorhergehenden Steuerreform angefallene kalte Progression kompensieren, sondern die Einkommen tatsächlich entlasten. Mit kalter Progression wird das Phänomen bezeichnet, dass durch eine die Geldentwertung ausgleichende Einkommenserhöhung bei einem progressiven Einkommensteuertarif die durchschnittliche Steuerbelastung steigt und das real verfügbare Einkommen sinkt.1 Die kalte Progression ist also das Ergebnis von (aufgrund der Inflation) steigenden Einkommen in einem Steuersystem mit progressivem Tarif, das nicht an die Inflation angepasst wird. Um die kalte Progression zu kompensieren, ist eine Indexierung des gesamten Tarifverlaufs erforderlich. Neben dem Steuertarif sollten zudem Sozialversicherungsbeiträge, pauschale Absetzbeträge und Steuerabsetzbeträge automatisch auf Basis eines spezifischen Indexwerts (z.B. Verbraucherpreisindex oder nominale Einkommensentwicklung) bereinigt werden.2 Die Anpassung des Steuertarifs an die Inflation ist international durchaus gängig, dies ist laut OECD bereits in 18 von 30 Ländern der Fall.3 Im deutschsprachigen Raum kommt es ausschließlich in der Schweiz zu einer automatischen Kompensation der kalten Progression. In Deutschland besteht seit 2012 lediglich eine bindende Regelung zur Feststellung der Wirkung der kalten Progression.4 Eine Anpassung des Steuersystems ist nicht verpflichtend. In Österreich wird der kalten Progression im Zuge von Tarifreformen etwa alle fünf Jahre Rechnung getragen. Aber auch hier gibt es keine gesetzliche Bindung.
Das österreichische Steuersystem
Das österreichische Einkommensteuersystem ist progressiv ausgestaltet. Seit der Reform 2016 basiert das System auf sechs Grenzsteuerstufen, wobei der Höchststeuersatz bei 50%5 liegt (vgl. Abbildung 1). Im Rahmen der Reform 2016 wurde der (im internationalen Vergleich vergleichsweise hohe) Eingangssteuersatz von 36,5% auf 25% gesenkt. Ein österreichisches Spezifikum ist die Besteuerung des 13. und 14. Monatsgehalts (das sogenannte Jahressechstel)6 mit pauschal jeweils 6%. Das verzerrt die effektive (Grenz-)Steuerbelastung, so liegt damit der effektive Grenzsteuersatz der höchsten Steuerstufe bei 43,2%. Bei der Berechnung des versteuerbaren Einkommens werden die Beiträge zur Sozialversicherung (SV) und das Jahressechstel sowie Frei- und Absetzbeträge vom Gesamtbruttoeinkommen abgezogen.
Abbildung 1
Grenzsteuer-Tarifverläufe in Österreich nach den Steuerreformen 2005, 2009 und 2016

Quelle: Bundesministerium für Finanzen; eigene Darstellung.
Kompensation der kalten Progression: ein Ländervergleich
Eine Reihe von Ländern hat ihre Steuertarife sowie Steuerabsetz- und Steuerfreibeträge in unterschiedlicher Form an die Preissteigerung angepasst (vgl. Tabelle 1). Wesentliche Unterschiede gibt es dabei in der Ausgestaltung von Ausmaß, Periodizität und dem rechtlichen Rahmen.7 So werden mehrheitlich zumindest die Steuertarife adjustiert, weitere Ausgestaltungsmöglichkeiten sind beispielsweise die Nichtanpassung der höchsten Steuerstufe (z.B. Großbritannien) oder die teilweise Anpassung von Steuerabsetzbeträgen (z.B. Belgien, Schweden, Schweiz). Zumeist erfolgt die Korrektur im Ausmaß der angefallenen Inflation. Schweden und Norwegen kompensieren darüber hinaus auch die Progression aus steigenden Reallöhnen. Spanien wendet im Gegensatz dazu eine vereinfachte Systematik an, in deren Folge die Tarife an das Inflationsziel der EZB von 2% angepasst werden.
Tabelle 1
Regelungen zur Kompensation der kalten Progression im Ländervergleich
| Land | Maßnahme | Gesetzlich verankert? |
|---|---|---|
| Belgien | Automatische Inflationsanpassung Tarife und Absetzbeträge | Ja |
| Chile | Monatliche Anpassung Tarife an den Verbraucherpreisindex | k.A. |
| Dänemark | Anpassung Tarife und Absetzbeträge an Lohnentwicklung | Ja |
| Deutschland | Keine Anpassung | - |
| Finnland | Inflationsanpassung Tarife | Nein |
| Frankreich | Inflationsanpassung Tarife | Nein |
| Großbritannien | Automatische Inflationsanpassung Tarife | Ja |
| Kanada | Automatische Inflationsanpassung Tarife und Absatzbeträge | Ja |
| Mexiko | Inflationsanpassung der Tarife nach 10% kumulierter Inflation | k.A. |
| Niederlande | Automatische Inflationsanpassung Tarife | Ja |
| Norwegen | Automatische Inflationsanpassung Tarife und individuelle Freibeträge an erwartete Nominallohnentwicklung | Nein |
| Österreich | Keine Anpassung | - |
| Schweden | Automatische Inflationsanpassung Tarife und individuelle Freibeträge näherungsweise an Nominallohnentwicklung | Ja |
| Schweiz | Automatische Inflationsanpassung Tarife und Absetzbeträge | Verfassungs-rang |
| Spanien | Pauschale Anpassung Tarife um 2% | Nein |
| USA | Automatische Inflationsanpassung Tarife und Absatzbeträge | Ja |
Quelle: J. Lemmer: Indexierung der Einkommensbesteuerung im internationalen Vergleich, in: Wirtschaftsdienst, 94. Jg. (2014), H. 12, S. 872-878; eigene Darstellung.
Entscheidende Unterschiede bestehen außerdem in der Art der Anpassung. Während beispielsweise in der Schweiz die Korrekturen automatisch vorgenommen werden, so erfolgen sie in Frankreich oder Finnland diskretionär.8 Fast alle hier genannten Länder passen die Einkommenstarife jährlich an. Chile kompensiert die kalte Progression noch stärker, indem die Tarifeckwerte monatlich an den Verbraucherpreisindex angepasst werden. Im Rahmen der Regelung in Mexiko werden die Tarifstufen nur dann an die Preissteigerung angepasst, wenn die kumulierte Inflation 10% erreicht hat.
Nachfolgend wird einerseits das System in Österreich dargestellt, andererseits werden vergleichend dazu drei Modelle nach dem Vorbild Spaniens, der Schweiz und Schwedens skizziert, welche die kalte Progression auf unterschiedliche Weise kompensieren.
Österreich
Im österreichischen Einkommensteuersystem werden zwar die Tarifgrenzen innerhalb der Sozialversicherung mit der Aufwertungszahl9 indexiert, allerdings gibt es diese Anpassung weder für die Freibetragsgrenze, Absetzbeträge und Steuertarifeckwerte. Daher entsteht die kalte Progression, sobald das Einkommen einer Person an die Inflation angepasst wird und in der Folge das zu versteuernde Einkommen zumindest die Grenzsteuerstufe bei 25% überschreitet. Das Phänomen betrifft nicht nur Personen, die durch die inflationsangepassten Löhne in eine neue Steuerstufe rutschen, sondern alle Steuerpflichtigen, deren Einkommen eine Preisanpassung erfahren haben.10
Ein Vorschlag des österreichischen Bundesministeriums für Finanzen vom Frühjahr 2016 sieht eine Anpassung der Steuertarifeckwerte vor, sobald die akkumulierte Preissteigerung (zum Referenzjahr) einen Grenzwert von 5% überschritten hat. Unklar ist dabei, inwieweit gemäß diesem Vorschlag sämtliche Tarifeckwerte sowie Absetz- und Freibeträge angepasst werden sollen. Für eine nachhaltige Lösung wären eine starke gesetzliche Verankerung sowie eine automatisch verpflichtende Anpassung notwendig. Der größte Kritikpunkt einer solchen Regelung liegt aber in der zeitlichen Verzögerung: Da eine Anpassung nicht jedes Jahr erfolgt, wird nur ein Teil der kalten Progression verhindert. Jedes Jahr ohne entsprechende Korrektur bedeutet eine steuerliche Mehrbelastung, ohne dass eine reale Kaufkrafterhöhung erfolgt ist. Besonders in Zeiten konstant niedriger Inflationsraten kann es daher sehr lange dauern, bis eine Anpassung stattfindet. Entsprechend besteht die Gefahr, dass es so zu einer erheblichen Mehrbelastung der Steuerzahler kommt, bevor die Preissteigerung abgegolten wird.
Spanien
Spanien weist ein progressiv ausgestaltetes Einkommensteuersystem auf Bundesebene sowie auf lokaler Ebene (in bestimmten Regionen) auf. Für die Berechnung der Steuerlast werden die Sozialversicherungsabgaben von der Bemessungsgrundlage abgezogen. Bis 2008 wurden in Spanien die Tarifgrenzwerte pauschal jedes Jahr automatisch um 2% angehoben. Aufgrund der Krise wurde diese Anpassung ab 2008 bis auf Weiteres ausgesetzt.11 Eine Anpassung hat seither nicht mehr stattgefunden.12
Schweiz
Im Rahmen des (progressiv ausgerichteten) Steuersystems der Schweiz werden sowohl lokale (kantonale) als auch Bundessteuern erhoben. Beiträge zur Sozialversicherung sowie weitere Absetzbeträge reduzieren die Steuerbasis. Seit 2011 werden die Tarife und Steuerabzüge (zum Großteil) automatisch an die Preisentwicklung (Landesindex der Konsumentenpreise) angepasst. Dies gilt sowohl auf Bundesebene sowie weitgehend auch auf kantonaler Ebene. Vor 2011 erfolgte die Anpassung, sobald die Preissteigerung im Vergleich zum Referenzjahr einen Schwellenwert überschritten hatte. Allerdings wurde das System 2011 umgestellt, da die Inflation über längere Zeit nur geringe Werte erreicht hatte und somit eine Anpassung nur in großen Zeitabständen stattfand. Seit 2011 ist die jährliche Anpassung auf Bundesebene automatisiert und verfassungsrechtlich verankert. Auf lokaler Ebene erfolgt die Anpassung zumeist ebenfalls jährlich und automatisch, de facto ist sie in vielen Kantonen unterschiedlich.13 Eine negative Anpassung, sprich eine Herabsetzung der Tarifgrenzen bei negativer Preisentwicklung (Deflation), ist hierbei generell ausgeschlossen.
Schweden
Die schwedische Einkommensteuer wird ebenfalls sowohl auf lokaler als auch auf Bundesebene erhoben. Anders als in der Schweiz werden die Tarife über die Preisentwicklung hinaus an die Reallohnsteigerung angepasst,14 sie erfolgt dabei automatisch und ist gesetzlich verankert. Approximiert wird dies mit einer Anpassung im Ausmaß der Inflation plus 2%. In manchen Jahren (2004 bis 2006) fiel die Verschiebung der Tarifgrenzen um einen Prozentpunkt geringer als vorgesehen aus, 2009 lag sie darüber. Wie in der Schweiz wird eine negative Preisentwicklung nicht berücksichtigt.15
Zugrundeliegendes Modell und Daten
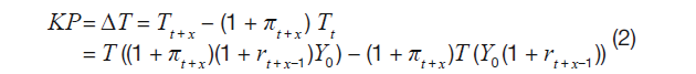
Die kalte Progression wird analog zu Christl und Kucsera16 sowie Gottfried und Witczak17 definiert. Steigt das Einkommen vom Jahr t (Yt ) ausschließlich mit der Inflation π (keine reale Einkommenserhöhung), so ergibt sich die kalte Progression (KP) aus der Differenz der tatsächlichen Steuerschuld im Jahr t + x, (Tt + x ) und der inflationsangepassten Steuerschuld im Jahr t, ((1 + πt + x )Tt ):
Hier beschreibt πt + x die kumulierte Inflationsrate zwischen den Jahren t und t + x. Da die Pensionen in Österreich mit der Inflation angepasst werden, kann (1) für die Berechnung der kalten Progression für Pensionisten verwendet werden. Unterschiede gibt es in der Besteuerung von unselbständig Erwerbstätigen und Pensionisten, da die letztere Gruppe geringere Sozialversicherungsbeiträge zahlt, was zu einer höheren Steuerbasis führt.
Steigt das Einkommen im Jahr t (Yt ) stärker/schwächer als das Preisniveau, dann lässt sich die kalte Progression als die Differenz zwischen der Steuerschuld des inflationsangepassten Reallohns und der inflationsangepassten Steuerschuld des Reallohns definieren:
Hier beschreibt rt + x die Veränderung der Reallöhne zwischen den Jahren t und t + x. (2) definiert die kalte Progression für unselbständig Erwerbstätige.
Die Einkommensbezieher werden entsprechend den Einkommensklassen (EK) der Lohnsteuerstatistik klassifiziert. Unter der Annahme einer gleichmäßigen Verteilung der Einkommensbezieher und der steuerfreien Bezüge berechnen wir einen gewichteten Effekt der kalten Progression. Für jedes Einkommen innerhalb einer Einkommensklasse, d.h. für jedes Einkommen vom niedrigsten (Eli ) bis zum höchsten (Ehi ) Niveau innerhalb einer Einkommensklasse i wird die kalte Progression berechnet und mit der entsprechenden Zahl an Personen in der jeweiligen Klasse multipliziert. Die Berechnung der kalten Progression in Einkommensklasse i ergibt sich wie folgt:
Der Gesamteffekt der kalten Progression innerhalb eines Jahres ergibt sich somit als Summe der Effekte in allen Einkommensklassen (insgesamt 19):
Die Berechnung der kalten Progression basiert auf den Daten der Lohnsteuerstatistik der Statistik Austria für 2014. Statistik Austria teilt die unselbständig Erwerbstätigen und Pensionisten nach Bruttobezügen in Einkommensklassen ein. Das Modell geht von der Annahme unveränderter Kohortengrößen aus, d.h. die Zahl der unselbständig Erwerbstätigen und Pensionisten bleibt für die Simulationsperiode von 2016 bis 2021 unverändert. Die Inflationsentwicklung basiert auf der entsprechenden Prognose des österreichischen Wirtschaftsforschungsinstituts (WIFO).18 Für Arbeitnehmer wird die Auswirkung eines Reallohnwachstums von 0,6% untersucht, das entspricht dem durchschnittlichen realen Bruttolohnwachstum zwischen 2000 und 2014 laut Statistik Austria. Die Sozialversicherungsgrenzen sind jedes Jahr mit der sogenannten Aufwertungszahl angepasst. Für die Aufwertungszahl wird der Durchschnittswert des Zeitraums von 2010 bis 2015 in Höhe von 2,17% angenommen.19
Hauptergebnisse
Das Phänomen der kalten Progression wird anhand eines unselbständig Erwerbstätigen mit einem jährlichen Bruttolohn von30 000 Euro veranschaulicht. Dieser Arbeitnehmer zahlt 2528 Euro Lohnsteuer im Jahr 2016. Dieselbe Person hätte ohne reale Bruttolohnsteigerung (Lohn ausschließlich mit der Inflationsprognose angepasst) im Jahr 2021 einen Bruttolohn in Höhe von 32 767 Euro zur Verfügung, der mit 3227 Euro an Lohnsteuer belastet wird. Ohne den Effekt der kalten Progression würde dieser Arbeitnehmer im Jahr 2021 233 Euro mehr an Lohnsteuer zahlen als im Jahr 2016 (inflationsangepasste Steuerbelastung von 2016). Allein im Jahr 2021 bewirkt die kalte Progression somit für diese Person eine Zusatzbelastung von 466 Euro. Kumuliert man die Wirkung der kalten Progression über die Jahre 2016 bis 2021, so ergibt sich eine Mehrbelastung von 1356 Euro.
Abbildung 2 zeigt, dass die zusätzliche Belastung infolge der kalten Progression die Steuerpflichtigen nach Einkommensklassen unterschiedlich stark trifft: Niedrige Einkommen (zwischen 16 000 Euro und 30 000 Euro Bruttojahreseinkommen) sind relativ am stärksten betroffen. Die absolute Belastung durch die kalte Progression steigt tendenziell mit dem Einkommen. Die relative Belastung zur gezahlten Gesamtsteuer sinkt hingegen mit dem Einkommen. Die zusätzliche Steuerlast durch die kalte Progression ist bei niedrigen Einkommen relativ gesehen am höchsten, da die Progressivität des Steuersystem hier am stärksten ist.20
Abbildung 2
Kalte Progression und relative Belastung im Verhältnis zur Einkommensteuer, 2021

Annahmen: Basisjahr 2016, Inflation (WIFO-Prognose), Grundtarif 2016 mit jährlich angepassten Sozialversicherungsgrenzen von 2,17%.
Quelle: eigene Berechnungen.
Tabelle 2 zeigt die Ergebnisse für unselbständig Erwerbstätige sowie Pensionisten für 2017, unter der Annahme einer Inflationsrate in Höhe von 1,7% und eines Reallohnwachstums von 0,6%. Vom Gesamteffekt der kalten Progression in Höhe von 382 Mio. Euro entfallen 120 Mio. Euro auf Pensionisten und 262 Mio. Euro auf unselbständige Erwerbstätige.
Tabelle 2
Wirkung der kalten Progression, 2017
| Bruttobezüge in 1000 Euro |
Zahl Erwerbs- tätige |
Zahl Pensionisten | Belastung durch die kalte Progression in Euro | |
|---|---|---|---|---|
| Erwerbs- tätige |
Pensionisten | |||
| 0 bis unter 2 | 382 991 | 243 483 | - | - |
| 2 bis unter 4 | 212 978 | 86 534 | - | - |
| 4 bis unter 6 | 175 172 | 100 918 | - | - |
| 6 bis unter 8 | 129 916 | 100 290 | - | - |
| 8 bis unter 10 | 138 471 | 97 908 | - | - |
| 10 bis unter 12 | 138 257 | 148 337 | - | - |
| 12 bis unter 15 | 205 903 | 296 387 | 366 654 | 613 376 |
| 15 bis unter 18 | 214 589 | 194 806 | 2 727 051 | 123 195 |
| 18 bis unter 20 | 146 551 | 126 210 | 8 596 113 | 79 815 |
| 20 bis unter 25 | 375 283 | 267 527 | 21 016 491 | 43 521 163 |
| 25 bis unter 30 | 394 162 | 227 483 | 32 521 074 | 22 654 895 |
| 30 bis unter 35 | 385 187 | 178 943 | 33 097 116 | 14 375 520 |
| 35 bis unter 40 | 316 110 | 117 454 | 27 161 689 | 11 054 948 |
| 40 bis unter 50 | 420 569 | 116 754 | 45 806 492 | 13 461 830 |
| 50 bis unter 70 | 392 477 | 69 783 | 47 366 804 | 8 008 254 |
| 70 bis unter 100 | 180 946 | 25 362 | 24 906 034 | 4 152 046 |
| 100 bis unter 150 | 68 347 | 6 816 | 12 317 864 | 1 331 675 |
| 150 bis unter 200 | 14 644 | 1 027 | 3 186 034 | 247 335 |
| 200 oder darüber | 11 365 | 701 | 3 151 821 | 202 442 |
| Insgesamt | 4 303 918 | 2 406 723 | 262 221 236 | 119 826 495 |
Annahmen: Basisjahr 2016, Inflation 2016 1,7% (WIFO Prognose), Reallohnwachstum 0,6%. Grundtarif 2016 mit angepassten Sozialversicherungsgrenzen von 2,17%.
Quelle: Statistik Austria, eigene Berechnungen.
In der vorliegenden Studie wird zwischen fünf Modellen unterschieden, die an bestehenden Methoden bzw. Vorschlägen orientiert sind (vgl. Tabelle 3). Tabelle 4 zeigt die Berechnung der kalten Progression nach den skizzierten Modellen. Das Basismodell weist im Jahr 2021 einen Effekt der kalten Progression in Höhe von rund 2,2 Mrd. Euro aus. Für die Gesamtperiode liegt sie kumuliert bei 6,2 Mrd. Euro. Im Richtwertmodell ist die Wirkung der kalten Progression in den ersten drei Jahren dieselbe wie im Basismodell, da die kumulierte Inflation den Grenzwert von 5% noch nicht überschreitet. Die Steuergrenzen werden in diesem Modell erst Ende 2019 angepasst, was im Jahr 2020 zu einer niedrigeren kalten Progression führt.21 2021 überschreitet die kalte Progression wieder die Grenze von 1 Mrd. Euro. Es zeigt sich, dass dieses Modell die kalte Progression um mehr als 2 Mrd. Euro im Vergleich zum Basismodell reduziert. Dennoch kommt es zu einer Mehrbelastung in Höhe von knapp 4 Mrd. Euro.
Tabelle 3
Übersicht der Modelle
| Modell | Anpassung Steuer | Periodizität | Anwendung in |
|---|---|---|---|
| Basismodell | keine | keine | Österreich Status quo |
| Richtwert-modell | Wenn kumulierte Inflation seit letzter Anpassung größer als 5% | unregelmäßig (abhängig von Inflations-entwicklung) | Österreich Vorschlag; Mexiko (10%-Grenze) |
| Inflations-modell | Anpassung an Inflation | jährlich | Schweiz |
| Fixmodell | Anpassung fix mit 2% | jährlich | Spanien |
| Nominallohnmodell | Anpassung um Reallohnentwicklung über Inflation hinaus | jährlich | Schweden |
Anmerkung: Sonstige Anpassung: Sozialversicherungsgrenzen mit Aufwertungszahl von 2,17% p.a.
Quelle: eigene Darstellung.
Tabelle 4
Wirkung der kalten Progression in unterschiedlichen Modellen
| 2016 | 2017 | 2018 | 2019 | 2020 | 2021 | 2016 bis 2021 | |
|---|---|---|---|---|---|---|---|
| Inflation (in %) | 1,7 | 1,7 | 1,8 | 1,8 | 1,9 | - | - |
| Kumulierte Inflation (in %) | - | 1,7 | 3,43 | 5,29 | 7,19 | 9,22 | - |
| Basismodell | - | 382 | 779 | 1217 | 1671 | 2170 | 6219 |
| Richtwertmodell | - | 382 | 779 | 1217 | 524 | 1000 | 3902 |
| Inflationsmodell | - | 29 | 58 | 90 | 123 | 159 | 458 |
| Fixmodell | - | -33 | -70 | -83 | -99 | -90 | -375 |
| Nominallohnmodell | - | -97 | -199 | -305 | -417 | -533 | -1552 |
Annahmen: Basisjahr 2016, Inflation (WIFO-Prognose), Reallohnwachstum 0,6% p.a., Grundtarif 2016 mit jährlich angepassten Sozialversicherungsgrenzen von 2,17%.
Quelle: eigene Berechnungen.
Erfolgt eine Anpassung entsprechend dem Inflationsmodell, so bleibt die kalte Progression zwar weiterhin bestehen, aber auf einem sehr niedrigen Niveau.22 Die kumulierte kalte Progression für die gesamte Periode liegt unterhalb von 500 Mio. Euro. Sollte das ganze Steuersystem (alle Pflichtbeiträge, Werbungskosten, Negativsteuer, Steuerabsetzbeträge usw.) an die Inflation angepasst werden, würde die kalte Progression komplett kompensiert. Das Fixmodell führt zu einer Überkompensation der kalten Progression (auch wenn die Absetzbeträge nicht angepasst werden), da die prognostizierte Inflation im untersuchten Zeitraum unter dem Niveau der Anpassung liegt. Die Entlastung der Steuerzahler liegt kumuliert bis 2021 bei rund 375 Mio. Euro. Im Nominallohnmodell werden die Steuergrenzen mit den Zuwächsen des Nominallohns (Inflation plus Reallohnwachstum) angepasst, dann liegt die Entlastung der Steuerzahler kumuliert bis 2021 bei über 1,5 Mrd. Euro.
Weitere Ergebnisse
Wie wirkt sich die Korrektur der kalten Progression auf weitere Variablen, speziell die gesamten Einkommensteuereinnahmen des Staates (ausgenommen Selbständige) und auf die Steuerbelastungsquote23 aus?
Tabelle 5 zeigt, dass die Einkommensteuereinnahmen des Staates (ausgenommen Selbständige) in allen Modellen gestiegen sind. Der Anstieg liegt im Jahr 2021 zwischen 12% (Nominallohnmodell) und 23% (Basismodell). Das Richtwertmodell impliziert eine Steigerung der Lohnsteuereinnahmen des Staates in Höhe von 4,4 Mrd. Euro (+18%) bis zum Jahr 2021. Auch wenn die Steuertarifeckwerte mit der Nominallohnsteigerung angepasst werden, steigen die Staatseinnahmen aus der Lohnsteuer um 2,9 Mrd. Euro.
Darüber hinaus zeigen alle Modelle (mit Ausnahme des Nominallohnmodells) eine steigende Steuerbelastungsquote. Den stärksten Anstieg zeigt das Basismodell, hier steigt die Steuerbelastungsquote von 16,46% (2016) auf 18,17% (2021). Das Richtwertmodell impliziert einen Anstieg der Steuerbelastungsquote auf 17,45% 2021, während das Nominallohnmodell die Quote relativ konstant hält.
Tabelle 5
Einkommensteuereinnahmen (SE) und Steuerbelastungsquote (SQ) in unterschiedlichen Modellen
| 2016 | 2017 | 2018 | 2019 | 2020 | 2021 | |||||||
|---|---|---|---|---|---|---|---|---|---|---|---|---|
| SE | SQ | SE | SQ | SE | SQ | SE | SQ | SE | SQ | SE | SQ | |
| Basismodell | 24,1 | 16,46 | 25,1 | 17,12 | 26,2 | 17,12 | 27,3 | 17,47 | 28,4 | 17,81 | 29,7 | 18,17 |
| Richtwertmodell | - | - | 25,1 | 17,12 | 26,2 | 17,12 | 27,3 | 17,47 | 27,3 | 17,09 | 28,5 | 17,45 |
| Inflationsmodell | - | - | 24,8 | 16,65 | 25,4 | 16,65 | 26,2 | 16,75 | 26,9 | 16,84 | 27,7 | 16,94 |
| Fixmodell | - | - | 24,7 | 16,57 | 25,3 | 16,57 | 26,0 | 16,64 | 26,7 | 16,70 | 27,4 | 16,79 |
| Nominallohnmodell | - | - | 24,6 | 16,48 | 25,2 | 16,48 | 25,8 | 16,49 | 26,4 | 16,51 | 27,0 | 16,52 |
Annahmen: Basisjahr 2016, Inflation (WIFO-Prognose), Reallohnwachstum 0,6% p.a., Grundtarif 2016 mit jährlich angepassten Sozialversicherungsgrenzen von 2,17%.
Quelle: eigene Berechnungen.
Schlussfolgerungen
Ohne eine Kompensation der kalten Progression kommt es aufgrund (inflationsbedingt) steigender Löhne auch zukünftig zu einer Mehrbelastung der Steuerzahler. Für den Zeitraum von 2016 bis 2021 beträgt diese Mehrbelastung in Österreich nach unseren Berechnungen über 6 Mrd. Euro. Da die Progressivität des Steuersystems im unteren Einkommensintervall höher ist, wird insbesondere dieser Bereich infolge der kalten Progression relativ stark belastet. Die volle Kompensation der kalten Progression wäre auch deswegen essenziell, um die Arbeitsanreize nicht weiter herabzusetzen.
Das Bundesministerium für Finanzen in Deutschland schätzt die kalte Progression für 2016 je nach Ausmaß der Inflation auf 0,8 Mrd. Euro (bei 1% Inflation) bis 3,1 Mrd. Euro (bei 2% Inflation).24 Aufgrund der Tarifänderungen in 2016 kann in Österreich die kalte Progression nur für die Folgejahre geschätzt werden. Unsere Analyse kommt zu einer zusätzlichen Steuerbelastung in Österreich für 2017 in Höhe von 382 Mio. Euro auf Grundlage einer Inflationsrate von 1,7%.
Eine Korrektur, die nach Überschreiten der kumulierten Inflation von 5% erfolgt, reduziert zwar die zusätzliche Belastung in Österreich auf rund 4 Mrd. Euro, führt aber zu keiner vollständigen Kompensation der kalten Progression. Besonders in Zeiten, in denen die Preise über längere Zeit nur geringfügig steigen, führt diese Kompensation zu einer erheblichen Mehrbelastung, da die Zeitabstände zwischen den Anpassungen substanziell werden können. So führt beispielsweise eine solche Kompensation unter Annahme einer 1%igen Inflationsrate pro Jahr zu keiner Reduktion der kalten Progression im betrachteten Zeitraum (2016 bis 2021).
Die pauschale Anpassung von 2% pro Jahr führt dann zu unerwünschten Effekten, wenn die tatsächliche Inflation stark von diesem Wert abweicht. Eine Abgeltung der kalten Progression wird annähernd durch eine jährliche Anpassung der Steuertarifeckwerte erreicht. Zur vollständigen Kompensation müssten auch sämtliche Absetz- und Freibeträge indexiert werden. Bei steigenden Reallöhnen führt das progressive Einkommensteuersystem zu einer steigenden Lohnsteuerbelastungsquote. Soll die Quote konstant gehalten werden, so müssen die Steuertarifeckwerte der Nominallohnentwicklung angepasst werden.
Sämtliche Modelle resultieren in steigenden Steuereinnahmen des Staates, lediglich die Höhe des Zuwachses wird durch eine Indexierung reduziert. Eine Eindämmung der kalten Progression höhlt damit die Finanzen des Staates nicht aus. Um die hohe Belastung des Faktors Arbeit nicht weiter steigen zu lassen, wäre eine Anpassung des Steuersystems an die Entwicklung der Nominallöhne zu überlegen. Eine solche Maßnahme würde nicht nur die kalte Progression kompensieren, sondern auch jene Progression, die auf reale Lohnzuwächse zurückzuführen ist. Im Ergebnis würde die Belastungsquote der Steuerzahler konstant bleiben. Eine Reform sollte zumindest die gesamte kalte Progression in ihrer Gänze ausgleichen. In diesem Fall wäre eine in der Verfassung verankerte automatische Anpassung von Tarifeckwerten sowie von Absetz- und Freibeträgen in Österreich anzustreben.
- 1 Das um die Inflation steigende Einkommen hält die Kaufkraft konstant. Wenn der progressive Einkommensteuertarif und die steuerlichen Absetzbeträge unverändert bleiben, nimmt das real verfügbare Nettoeinkommen nach Steuern ab und der Durchschnittssteuersatz steigt.
- 2 Die kalte Progression ist eine Steuermehrbelastung, die zu einer höheren Steuerquote führt. Wird das Steuersystem mit dem Nominallohnwachstum angepasst, bleibt die Steuerquote unverändert (unter Annahme, dass die Löhne um den gleichen Betrag steigen). Vgl. A. Boss: Abgabenbelastung und heimliche Steuererhöhung in ausgewählten Fällen 2013-2017, Kiel Policy Brief, Nr. 81, November 2014.
- 3 Vgl. OECD: Taxing Wages 2008, OECD Publishing, Paris 2008.
- 4 Vgl. Entwurf eines Gesetzes zum Abbau der kalten Progression, Bundestags-Drucksache, Nr. 17/9201.
- 5 Ab 2016 gilt befristet bis 2020 zusätzlich ein Grenzsteuersatz von 55% für versteuerbares Einkommen oberhalb von 1 Mio. Euro.
- 6 Jeder Arbeitnehmer in Österreich erhält pro Jahr 14 Monatseinkommen.
- 7 Vgl. J. Lemmer: Indexierung der Einkommensbesteuerung im internationalen Vergleich, in: Wirtschaftsdienst, 94. Jg. (2014), H. 12, S. 872-878.
- 8 Eine diskretionäre Anpassung erfordert einen Parlamentsbeschluss zu konkreten Maßnahmen.
- 9 Die Aufwertungszahl beruht auf der Veränderung der durchschnittlichen Beitragsgrundlage in der gesetzlichen Pensionsversicherung vom drittvorangegangenen zum zweitvorangegangenen Kalenderjahr. Soweit im Einzelnen nichts anderes angeordnet wird, ist die Aufwertungszahl für die Erhöhung der Höchstbeitragsgrundlage und der festen Beträge, die der Beitragsberechnung dienen, heranzuziehen. Vgl. Allgemeines Sozialversicherungsgesetz, §108.
- 10 Jeder zusätzlich besteuerte Euro erhöht die durchschnittliche Besteuerung und nähert den durchschnittlichen Steuersatz dem marginalen Steuersatz asymptotisch an.
- 11 Auf lokaler Ebene fand zum Teil eine Fortführung statt, z.B. im autonomen Baskenland.
- 12 Vgl. OECD: Taxing Wages 2015, OECD Publishing, Paris 2015; vgl. Ernst & Young: Worldwide personal tax guide – Income tax, social security and immigration 2013-2014, EYMG Limited 2013.
- 13 Vgl. Schweizer Steuerkonferenz: Die kalte Progression, Bern 2015.
- 14 Die Anpassung erfolgt über die beiden Bundessteuersätze. Die lokal erhobenen Steuern entsprechen einer Flat tax und unterscheiden sich in der Höhe des Steuersatzes zwischen den Regionen. Dadurch, dass es nur einen Steuertarif und angepasste Absetzbeträge gibt, kommt es auf lokaler Ebene kaum zur kalten Progression.
- 15 Vgl. OECD: Taxing Wages 2015, a.a.O.; vgl. Ernst & Young, a.a.O.
- 16 Vgl. M. Christl, D. Kucsera: Gleicht die Steuerreform 2015/16 die kumulierte Wirkung der kalten Progression aus?, in: WIFO-Monatsberichte, 88. Jg. (2015), Nr. 5, S. 447-453.
- 17 Vgl. P. Gottfried, D. Witczak: Gesamtwirtschaftliche Auswirkungen der „heimlichen Steuerprogression“ und steuerpolitische Handlungsoptionen zur Entlastung von Bürgern und Wirtschaft, in: IAW-Kurzbericht, Nr. 1/2008, Tübingen 2008.
- 18 WIFO, Stand April 2016.
- 19 Rechtsinformationssystem des Bundes (RIS).
- 20 Ein ähnliches Bild zeigt die Entwicklung der relativen Belastung zum Nettoeinkommen. Da der Effekt der kalten Progression durch den Höchststeuersatz nach oben begrenzt ist, ist die relative Belastung für höhere Einkommen geringer.
- 21 Die kalte Progression wird aber in diesem Jahr nicht komplett annulliert, da die Inflation im Jahr der Anpassung nicht berücksichtigt ist.
- 22 Die kalte Progression entsteht in diesem Fall aufgrund der nicht an die Inflation angepassten Absetzbeträge.
- 23 Das Verhältnis zwischen den gesamten Lohnsteuereinnahmen des Staates und der Bruttolohnsumme.
- 24 Vgl. Bundesministerium der Finanzen: Bericht über die Wirkung der kalten Progression im Verlauf des Einkommensteuertarifs für die Jahre 2013 bis 2016, Erster Steuerprogressionsbericht 2015.